Octet® R4
Octet® R4為中階款的4通道分析系統,適合於追求樣品分析量與成本之間平衡的用戶。使用生物膜光干涉技術,配合不同材質設計的感測探針,達到即時且無需事先標記偵測,用於結合動力學參數(ka, kd, KD)測定,以及特定分子定量分析。4通道的設計和R2機型相比,雖然通道數僅為2倍,但在都需扣除1個通道作為參考試驗後,R4的分析量其實是R2的3倍,未來客戶也可以視實驗規模的需求增加,原地直接升級成為8通道的R8機型,降低因為升級工作引起的不便。
Octet® R4為中階款的4通道分析系統,但擁有和高階8通道一樣的靈敏度,適合初期樣品數量較少,建置成本較低,但對實驗精準度要求一樣高的使用客戶。
● Fast Results 4通道設計,可同時獲得1-4組不同實驗結果。
● High Sensitivity, Moderate Throughput, Low Cost一樣的高靈敏度、中等的分析處理量,相對低的成本。
● Reduced Assay Time and Maintenance Cost 無微流道設計,減少樣品分析時間與維護成本。
● Field Upgradeable within a Single Visit 工程師可於一天以內,於儀器所在位置,現場升級成8通道的R8系統。
● Sample Plate Cooling for Temperature-Sensitive Proteins 樣品盤位置可控溫最低至15度,確保樣品的穩定性。
動力學和親和力表徵分析
Octet® R4系統可以即時偵測樣品結合狀況,計算結合速率常數(ka)、解離速率常數(kd)以及解離常數(KD)。

蛋白質定量
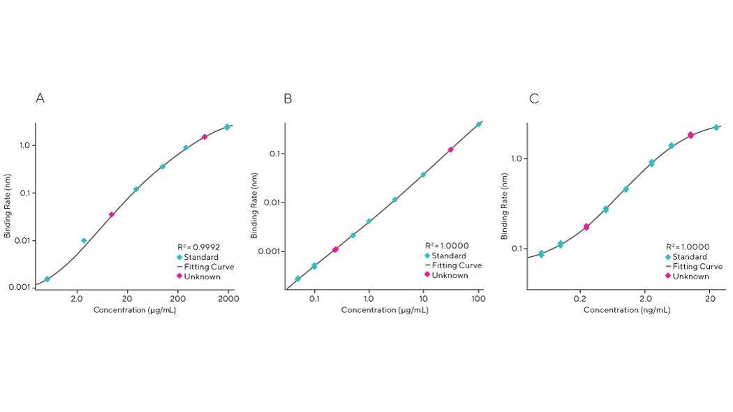
透過特定的感測探針,可以準確定量樣品濃度,例如使用Protein A感測探針,可以即時正確的定量細胞株表現上清液中抗體濃度,無需複雜的樣品前處理,可以取代HPLC或ELISA等傳統耗時耗力的分析方法。


