Octet® R8
Octet® R8為8通道分析系統,適合於追求樣品分析量較高的學術或研發類型用戶。使用生物膜光干涉技術,配合不同材質設計的感測探針,達到即時且無需事先標記偵測,用於結合動力學參數(ka, kd, KD)測定,以及特定分子定量分析。8通道的設計和R2機型相比,雖然通道數僅為4倍,但在都需扣除1個通道作為參考試驗後,R8的同步分析量其實是R2的7倍,可在30分鐘至2.5小時內,對於多達96個樣品進行定量和結合動力學分析
Octet® R8適合於多種不同的分析應用,包括結合動力學、IgG或其他特定蛋白質定量、免疫分析、生物製程開發、粗萃物抗體篩選、抗原表位(epitope)分析等。
● Unmatched Flexibility and Versatility 8通道設計,可同時獲得1~8組不同實驗結果。
● Unattended Run Time 使用防蒸發上蓋,最高可進行12小時連續性分析。
● Reduced Assay Time and Maintenance Cost 無微流道設計,減少樣品分析時間與維護成本。
● Sample Plate Cooling for Temperature-Sensitive Proteins 樣品盤位置可控溫最低至15度,確保樣品的穩定性。
● Upgrade to GxP 可選擇升級為GxP系統組,包含符合21 CFR Part 11軟體、IQOQPQ所需試劑及服務,確保使用單位的R8系統符合相關協定要求。
動力學和親和力表徵分析
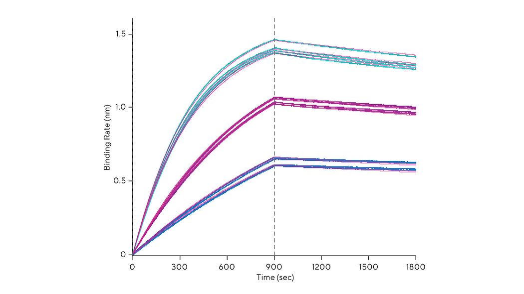
Octet® R8系統卓越的靈敏度,透過偵測樣品接觸表面造成反射光干涉情形的變化量,能夠測量不同分子量大小的樣品結合動力學常數,無需任何的微流道設計,減少整體實驗流程。

生物製程中的蛋白質定量
透過特定的感測探針,使用簡單的結合步驟,只需2分鐘即可準確且重複定量樣品濃度,抑或花費30分鐘時間,即可定量96孔微量盤中所有樣品濃度。透過增加反應時間或振盪速度,以及增加額外加強訊號步驟,可降低偵測極限至sub-ng/mL等級。原廠提供完整試劑套組,可進行HCP(host cell proteins)或residual protein A偵測,較傳統ELISA方法擁有更大的檢測範圍及更小的誤差。另外也有設計用於偵測蛋白分子表面基本醣型的試劑組,包含針對甘露糖(Mannose)的GlyM試劑組,或是針對唾液酸(Sialic acid)的GlyS試劑組。



品質控制與製程
Octet系統專為需要受監管的品質控制環境所開發,可以應用於上下游製程中配體結合、濃度測定及不純物分析等試驗,提供批次放行的方法開發與驗証。


