COVID-19 的免疫研究與治療:使用流式細胞技術和 Milliplex 做免疫偵測
隨著 COVID-19 大流行影響世界人口,對宿主免疫反應的了解可能助於知道病原體如何在個體中引起疾病,而大多數感染者可能只表現出輕度或完全沒有症狀。此外,了解保護性免疫以及恢復期的長期記憶型免疫可能有助於設計預防和治療措施,以應對未來其他病毒的爆發 。流式細胞技術是目前檢測淋巴細胞亞群的標準方法,在臨床上,若能透過流式細胞術快速檢驗的特性,搭配免疫細胞標誌,即可監控免疫細胞變化,來得到投藥前後的治療效果,在學術上也能研究疾病機轉,甚至在藥物、疫苗開發及動物模式上,都是不可或缺的檢測工具。另外,免疫細胞活化產生細胞激素,也可用於監控患者的免疫狀態,或是檢測藥物或特定抗原的免疫反應及常規免疫力評估。過度的發炎反應會引發大量細胞激素的產生,稱為細胞激素風暴 (Cytokine release syndrome, CRS),這種失控的免疫反應會造成器官的損傷及衰竭,進而導致休克而死亡,在 COVID-19 患者病程的免疫細胞和細胞激素的偵測,陸續有文獻發表。
流式細胞技術在 COVID-19 的相關應用
免疫細胞族群分析:BD 螢光抗體
BD Biosciences 除了有常見的 FITC、PE 等螢光染劑外,近幾年更是致力發展 multicolor 多色螢光來解決螢光種類不敷使用的問題,大大突破流式細胞技術的限制。BD 獨特的聚合物染劑技術發展出 Horizon Brilliant™ 系列螢光抗體,這樣的技術使螢光染劑亮度提高且對光更穩定,依照不同雷射激發,螢光染劑可分為 Brilliant Blue、Brilliant Violet 和 Brilliant UV 染劑 (簡稱 BB, BV, BUV)。如此一來,在多種免疫細胞偵測上,可以有更深入的研究。BD 在 COIVD-19 專區也有提供優化的免疫細胞 panel、cocktail 抗體和套組。
推薦產品
Antibody Cocktails
| Research Area | Research Application | Product Solution(s) | Cat. No. |
| Viral Immune Response | Identification of naïve and different memory T cell subsets in human whole blood by MFC | BD Horizon™ Dri Memory T Cell | 653848 |
| Identification of naïve and different effector regulatory T cell (Treg) subsets in human whole blood by MFC | BD Horizon™ Dri Treg Cell | 626498 | |
| Identification of classical (M1), intermediate (M2) and non-classical (M3) monocyte subsets in human whole blood by MFC | BD Horizon™ Dri MonoSet Panel | 626486 |
Immune Panel
| Research Area | Research Application | Recommended Research Panel | |||
| Viral Immune Response | Assess the expression of multiple T cell inhibitory receptors (PD-1, TIM-3, LAG-3, CTLA-4, BTLA, TIGIT) on naïve and different memory T cell subsets | T Cell Exhaustion Panel | |||
| Marker | Dye | Clone | Cat. No | ||
| CD3 | PerCP-Cy5.5 | UCHT1 | 560835 | ||
| Live/Dead | 7-AAD | N/A | 559925 | ||
| CD4 | APC-R700 | RPA-T4 | 564975 | ||
| CD8 | APC-H7 | SK1 | 560179 | ||
| CD45RA | BV650 | HI100 | 563963 | ||
| CD197 (CCR7) | FITC | 150503 | 561271 | ||
| CD95 | BV480 | DX2 | 746675 | ||
| TIGIT | BV421 | 741182 | 747844 | ||
| CD152 (CTLA-4) | PE | BNI3 | 555853 | ||
| CD223 (LAG-3) | Alexa Fluor® 647 | T47-530 | 565716 | ||
| CD272 (BTLA) | BV605 | J168-540 | 743986 | ||
| CD279 (PD-1) | PE-Cy7 | EH12.1 | 561272 | ||
| CD366 (TIM-3) | BV786 | 7D3 | 742857 | ||
| Identification of T helper cell (Th) subsets (Th1, Th2, Th17, Th22), follicular T helper cell (Tfh) subsets, regulatory T cell (Treg) subsets, and follicular regulatory T cell (Tfr) subsets | T Cell Subset Panel | ||||
| Marker | Dye | Clone | Cat. No | ||
| Live/Dead | 7-AAD | N/A | 559925 | ||
| CD3 | Alexa Fluor® 700 | UCHT1 | 557943 | ||
| CD4 | APC-H7 | SK3 | 641398 | ||
| CD45RA | BV605 | HI100 | 562886 | ||
| CD127 | BV711 | HIL-7R-M21 | 563165 | ||
| CD25 | BB515 | 2A3 | 564467 | ||
| CD183 (CXCR3) | PE-Cy7 | 1C6/CXCR3 | 560831 | ||
| CD185 (CXCR5) | BV480 | RF8B2 | 566142 | ||
| CD194 (CCR4) | BV421 | 1G1 | 562579 | ||
| CD196 (CCR6) | BV786 | 11A9 | 563704 | ||
| CD294 (CRTH2) | PE | BM16 | 563665 | ||
| CCR10 | APC | 1B5 | 564771 | ||
細胞激素偵測:BD Cytometric Bead Assay (CBA)
適當的細胞激素對於清除病毒都是相當重要。就 COVID-19 而言,早期研究指出,細胞激素釋放綜合症的過度活躍反應可能會導致疾病更嚴重。在細胞激素的偵測,除了透過細胞內染的流式細胞技術外,BD 的 CBA 系統也能利用流式細胞儀來定量細胞激素,ㄧ份檢體即可同時偵測 30 種蛋白質。
一份檢體 (50 μl) 最多可同時偵測 30 種蛋白質
步驟簡單,過程中只需清洗一次,輕鬆上手
超省時,操作 3 至 4 小時即可上機
FCAP Array 分析軟體,5 分鐘輕鬆分析數據


推薦品項
COVID-19 樣品中發現某些異常高的細胞激素包括:IL-2, IL-6, IL-7, IL-10, IP-10, GM-CSF, MCP-1, TNF, MIP-1α
| Cat. No | Description | size |
| 558270 | Human IL-2 Flex set | 100 Tests |
| 558276 | Human IL-6 Flex set | 100 Tests |
| 558334 | Human IL-7 Flex set | 100 Tests |
| 558274 | Human IL-10 Flex set | 100 Tests |
| 558280 | Human IP-10 Flex set | 100 Tests |
| 558287 | Human MCP-1 Flex set | 100 Tests |
| 558325 | Human MIP-1α Flex set | 100 Tests |
| 558335 | Human GM-CSF Flex set | 100 Tests |
| 560112 | Human TNF Flex set | 100 Tests |
| 550749 | Human Th1/Th2 Cytokine Kit (IL-2, IL-4, IL-5, IL-10, TNF, IFN-γ) |
80 Tests |
| 551809 | Human Th1/Th2 Cytokine Kit II (IL-2, IL-4, IL-6, IL-10, TNF, IFN-γ) |
80 Tests |
| 560484 | Human Th1/Th2/Th17 Kit (IL-2, IL-4, IL-6, IL-10, TNF, IFN-γ, IL-17A) |
80 Tests |
| 551811 | Human Inflammatory Cytokine Kit (IL-8, IL-1b, IL-6, IL-10, TNF, IL-12p70) |
80 Tests |
* Flex set 產品線可以搭到至多 30 種蛋白質同時偵測,須另外購買 master buffer kit (#558264 )
Milliplex 在 COVID-19 的相關應用
MILLIPLEX® 是一種結合 ELISA 以及流式細胞偵測的一種技術。ELISA 是將抗體接在固態的盤子上; 而 MILLIPLEX® 則是將抗體接在微珠上,微珠以紅光 (Red) 以及遠紅外光 (Infared) 兩種螢光染劑依照不同比例混合而成,總共可以組合 100 種的 color-code 微珠。不同的 color-code 微珠接上專一性辨識特定蛋白的抗體,即可辨識樣品中特定蛋白的表現。因此,MILLIPLEX® 可以在一個孔中同時定性並定量多種代測物的表現。

省時
一次檢測多種 biomarker,降低操作時間及人力成本。
省樣
樣品檢測體積約為 25 ul/well,多餘的樣品可以用在不同的應用分析上。
彈性大
可以客戶需求選擇大量篩選 (Pre-mixed) 或自行選擇需偵測的品項。
變異性小
每組產品皆提供 Intra-assay CV% 及 Inter-assay CV% 的數值,且每批標準品皆經過嚴謹的測試,性能穩定且差異性小。
確校
每組產品提供 QC (Quality control) 驗證。
準確度高
提供 Serum Matrix,當偵測 Serum/Plasma 樣品時,可當作標準曲線背景值補償,讓偵測的數值更準確。
方便
All in one,不須額外購買其他產品。
ISO 9001-2015 標準設施中製造
.png)


CSS VS COVID-19
當免疫系統對病原體反應過度時,或有某些免疫性物質例如藥物,觸發發炎反應,使得免疫細胞產生過量信號分子,這被稱為細胞因子風暴綜合徵狀(Cytokine Strom Syndromes, CSS)或細胞因子釋放綜合徵狀(Cytokine Release Syndromes, CRS)。急性或全身性炎症反應會導致肺部產生積液、呼吸窘迫、多器官功能衰竭,甚至可能致命。身體反應肺部 SARS-CoV-2 病毒感染可能導致細胞因子風暴,過量產生的免疫細胞及其信號分子在肺部引起局部炎症反應,導致呼吸窘迫和血氧水平降低。細胞因子風暴可能導致嚴重的臨床症狀和較差的癒後狀況。

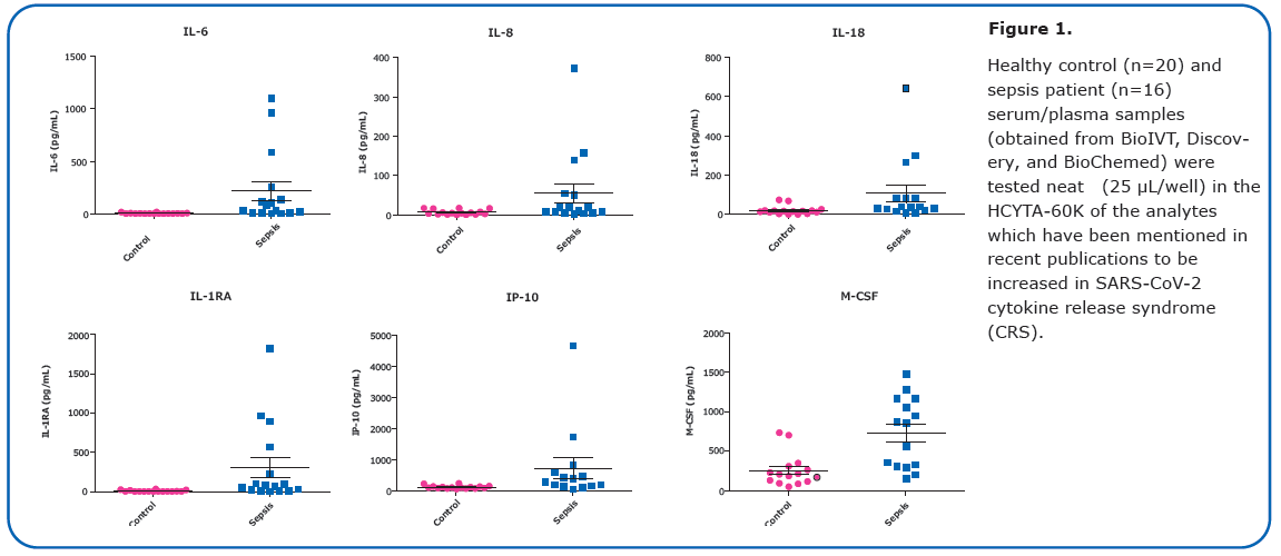
使用 MILLIPLEX® Human Cytokine Panel A比較敗血症病人與健康人體之血清/血漿檢體
一些有關 COVID-19 細胞因子圖譜的早期研究發現,IL-2、IL-7、G-CSF、IP-10、MCP-1、MIP-1α、TNFα 和 Ferritin 的水平升高,同時也發現 IL-6 隨著 SARS-CoV-2 感染而增加。Tocilizumab 是一種針對 IL-6 受體(IL-6R)的免疫抑制性單株抗體療法,已於 2020 年 3 月 26 日被 FDA 批准用於 III 期臨床試驗治療 COVID-19 肺炎。另外,COVID-19 患者的 IL-1β、IL-1RA、IL-8、IL-9、IL-10、FGF-basic、GM-CSF、IFNγ、MIP-1β、PDGF 和 VEGF 與健康受試者相比皆有所增加。SARS-CoV-2 的研究也在其他動物模型,例如獼猴中進行,這將使研究人員能夠在動物模型中測試可能的疫苗和抗病毒藥物/治療。一篇尚未發表的研究使用 MILLIPLEX® 於非人類靈長類動物,測定在多個時間點血清中 Cytokine 及 Chemokine 水平變化,顯示伴隨 TGFα 有所降低,IL-1RA、IL-6、IL-10、IL-15、MCP-1、MIP-1β 則有所增加。
Merck 的 MILLIPLEX® 分析平台,利用多因子免疫測定方式,能夠讓研究人員在有限的樣品中,同時定量多種不同的分析目標物,並了解其對人類免疫反應相關的重要影響。Merck MILLIPLEX® 分析平台中的 48-plex Human Cytokine/Chemokine/Growth Factor Panel A,可以針對細胞因子風暴、敗血症或其他疾病狀態下的分析物做快速分析,節省使用者的實驗時間和樣品用量。Merck 提供多種 MILLIPLEX® 可溶性蛋白分析及細胞訊息分析試劑組,能夠更全面性的幫助使用者,了解抗病毒免疫過程中,細胞內部相關下游的信號傳導途徑。Merck 的完整產品組合,為大多數物種提供最廣泛的分析,包括用於疫苗研究的非人類靈長類動物檢體,能夠提供使用單位從實驗研發端至檢測端,最全面無落差的實驗協助。
| 品名 | 貨號 | 可偵測物質 |
| MILLIPLEX® MAP Human Cytokine/Chemokine/Growth Factor Panel A | HCYTA-60K | sCD40L, EGF, Eotaxin, FGF-2, Flt-3 ligand, Fractalkine, G-CSF, GM-CSF, GROα, IFNα2, IFNγ, IL-1α, IL-1β, IL-1ra, IL-2, IL-3, IL-4, IL-5, IL-6, IL-7, IL-8, IL-9, IL-10, IL-12 (p40), IL-12 (p70), IL-13, IL-15, IL-17A, IL-17E/IL-25, IL-17F, IL-18, IL-22, IL-27, IP-10, MCP-1, MCP-3, M-CSF, MDC (CCL22), MIG, MIP-1α, MIP-1β, PDGF-AA, PDGF-AB/BB, RANTES, TGFα, TNFα, TNFβ, VEGF-A |
| Human Cytokine/Chemokine/Growth Factor Panel B | HCYTB-60K | 6Ckine, sCD137, sFas, sFasL, APRIL/TNFSF13, BAFF/Blys, BCA-1, CCL28, CTACK, CXCL16, ENA-78, Eotaxin-2, Eotaxin-3, GCP2, Granzyme A, Granzyme B, HMGB1, I-309, IFNβ, IFN-γ, IL-11, IL-16, IL-20, IL-21, IL-23, IL-24, IL-28A, IL-29, IL-31, IL-33, IL-34, IL-35, I-TAC, LIF, Lymphotactin, MCP-2, MCP-4, MIP-1d, MIP-3α, MIP-3β, MPIF-1/CCL23, Perforin, SCF, SDF-1, TARC, TPO, TRAIL, TSLP |
| MILLIPLEX MAP Human High Sensitivity T Cell Panel | HSTCMAG-28SK | Fractalkine, GM-CSF, IFNγ, IL-1β, IL-2, IL-4, IL-5, IL-6, IL-7, IL-8, IL-10, IL-12 (p70), IL-13, IL-17A, IL-21, IL-23, ITAC, MIP-1α, MIP-1β, MIP-3α, TNF-α |
| MILLIPLEX MAP Human Th17 Panel | HTH17MAG-14K | GM-CSF, IFN-γ, IL-1β, IL-2, IL-4, IL-5, IL-6, IL-9, IL-10, IL-12 (p70), IL-13, IL-15, IL-17A, IL-17F, IL-17E/IL-25, IL-21, IL-22, IL-23, IL-27, IL-28A, IL-31, IL-33, MIP-3α/CCL20, TNF-α, TNFβ |
| MILLIPLEX MAP Human CD8+ T Cell Panel | HCD8MAG-15K | GM-CSF, sCD137, IFNγ, sFas, sFasL, Granzyme A, Granzyme B, IL-2, IL-4, IL-5, IL-6, IL-10, IL-13, MIP-1α, MIP-1β, TNF-α, Perforin |
| MILLIPLEX MAP Human TIMP Magnetic Bead Panel 1 | HTMP1MAG-54K | TIMP-1, TIMP-2 |
| MILLIPLEX MAP TGFß Magnetic Bead 3 Plex Kit | TGFBMAG-64K-03 | TGF-β1, TGF-β2, TGF-β3 |
| MILLIPLEX® MAP Human Isotyping Magnetic Bead Panel | HGAMMAG-301K | IgG1, IgG2, IgG3, IgG4, IgA, IgM |
尚有其他物種以及 Biomarker 的產品可提供,詳情請洽當區業務或與我們聯絡喔!
文獻來源
- Mehta, P., et al. 2020. COVID-19: consider cytokine storm syndromes and immunosuppression. Lancet Published Online March 12, 2020
- Ruan, Q., et al. Clinical predictors of mortality due to COVID-19 based on an analysis of data of 150 patients from Wuhan, China. Intensive Care Med (2020).
- Huang, C., et al. 2020. Clinical features of patients infected with 2019 novel coronavirus in Wuhan, China. Published Online January 24, 2020
- Munster, V., et al. 2020. Respiratory disease and virus shedding in rhesus macaques inoculated with SARSCoV-2. bioRxiv 2020.03.21.001628; doi: https://doi.org/10.1101/2020.03.21.001628. This article is a preprint and has not been certified by peer review.






